House Oversight Flight Search

Reset
Results: 9495 | Page: 148
Previous 20 Next 20 2941–2960 of 9495
Flight Map
Routes shown for the current search results. Scroll to zoom, drag to move, and use the map tiles for real state and province lines.
Rendering map…
Previous 20 Next 20 2941–2960 of 9495
HOUSE_OVERSIGHT_006997.jpg
ID: 6556
Description:
Pages: 1
OCR done: 1
Downloaded: 1
OCR updated: 2026-04-09 08:57:42
Source status: needs_review
Local path: /HOUSE_OVERSIGHT_FILES/HOUSE_OVERSIGHT_006997.jpg
People JSON:
  • Lesley Groff
  • Richard Kahn
From: Subject: Fwd: TRIP ITINERARY 1579834 Date: May 10, 2012 11:43:31 AM EDT To: Lesley Groff gmail.com> » 1 Attachment, 59.3 KB Begin forwarded message: From: Richard Kahn <i gmail.com> Subject: Fwd: TRIP ITINERARY 1579834 Date: February 23, 2012 12:10:47 PM EST —— OO | | assume you made these changes (first of ...) Richard Kahn HBRK Associates Inc. 301 East 66th Street, Suite 10F New York, NY 10065 tel | fax cell Begin forwarded message: From: "Flight Options Admin Team" <OSRE @flightoptions.com> Date: February 23, 2012 12:07:45 PM EST To: richardkahni2@gmail.com Subject: TRIP ITINERARY 1579834 TRIP INFO Account: ZBFAIP1 Aircraft Type: Medium Jet Category | Team: E ' Team Phone: 877-358-6786 Team Fax: 216-797-3400 Estimated Time Enroute: 01:58/2.00 HOUSE_OVERSIGHT_006997
HOUSE_OVERSIGHT_006996.jpg
ID: 6555
Description:
Pages: 1
OCR done: 1
Downloaded: 1
OCR updated: 2026-04-09 08:57:40
Source status: needs_review
Local path: /HOUSE_OVERSIGHT_FILES/HOUSE_OVERSIGHT_006996.jpg
. ¢intermediary Disclosure. Amex assists you in finding travel suppliers and making arrangements | that meet your individual needs. We consider various factors in identifying travel suppliers to _| you and recommending, specific itineraries. In this role, we are acting as an independent third | party and not as a fiduciary. We want you to be aware that certain suppliers pay us | commissions as well as incentives for reaching sales targets or other goals, and from time to | time may also provide incentives to our travel counselors. Certain suppliers may also provide — | compensation to us for various marketing and administrative services that we perform for them, | such as granting them access to our marketing channels, parti cipating in marketing programs | and supporting technology initiatives. In addition, we receive compensation from suppliers when | customers use the American Express Card or other American Express products to pay for | supplier products and services. From time to time we may enter into | other business relationships with suppliers and these arrangements, including levels and types | of compensation and incentives we receive, are subject to change. In identifying suppliers and ‘| recommending itineraries, we may consider a number of factors, including supplier ‘oe and your preferences. The relationshi ips we have with suppliers may also influence ihe. | Suppliers we identify and the itineraries we recommend. “| California otate Seller of Tra
HOUSE_OVERSIGHT_006996.jpg
ID: 6554
Description:
Pages: 1
OCR done: 1
Downloaded: 1
OCR updated: 2026-04-09 08:57:40
Source status: needs_review
Local path: /HOUSE_OVERSIGHT_FILES/HOUSE_OVERSIGHT_006996.jpg
. ¢intermediary Disclosure. Amex assists you in finding travel suppliers and making arrangements | that meet your individual needs. We consider various factors in identifying travel suppliers to _| you and recommending, specific itineraries. In this role, we are acting as an independent third | party and not as a fiduciary. We want you to be aware that certain suppliers pay us | commissions as well as incentives for reaching sales targets or other goals, and from time to | time may also provide incentives to our travel counselors. Certain suppliers may also provide — | compensation to us for various marketing and administrative services that we perform for them, | such as granting them access to our marketing channels, parti cipating in marketing programs | and supporting technology initiatives. In addition, we receive compensation from suppliers when | customers use the American Express Card or other American Express products to pay for | supplier products and services. From time to time we may enter into | other business relationships with suppliers and these arrangements, including levels and types | of compensation and incentives we receive, are subject to change. In identifying suppliers and ‘| recommending itineraries, we may consider a number of factors, including supplier ‘oe and your preferences. The relationshi ips we have with suppliers may also influence ihe. | Suppliers we identify and the itineraries we recommend. “| California otate Seller of Tra
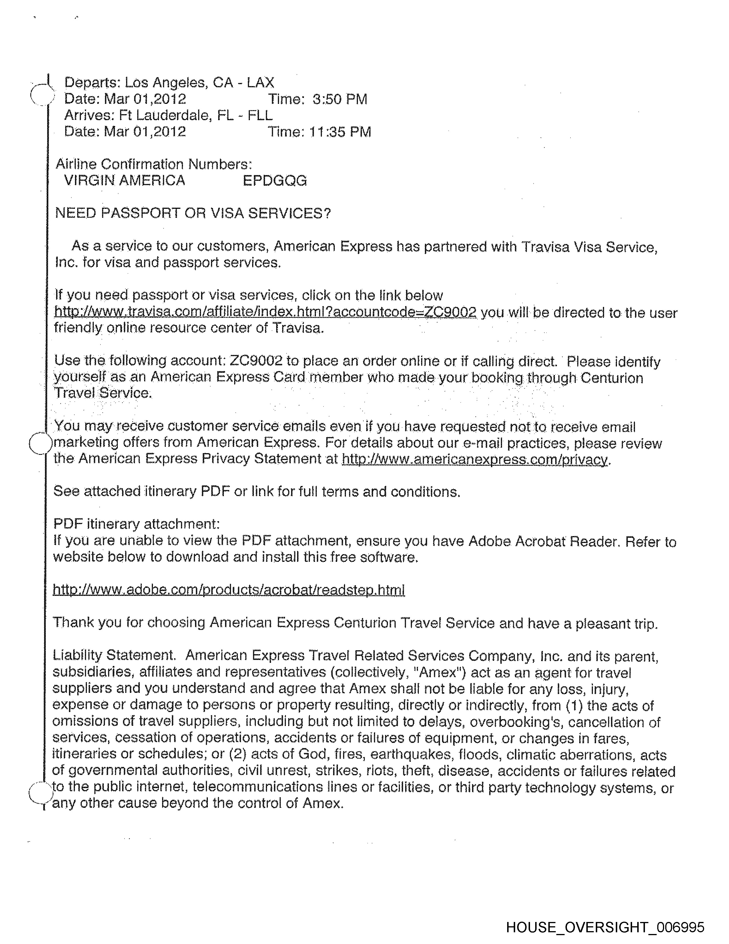
HOUSE_OVERSIGHT_006995.jpg
ID: 6553
Description:
Pages: 1
OCR done: 1
Downloaded: 1
OCR updated: 2026-04-09 08:57:37
Source status: parsed
Local path: /HOUSE_OVERSIGHT_FILES/HOUSE_OVERSIGHT_006995.jpg
ct Departs: Los Angeles, CA - LAX ../ Date: Mar 01,2012 Time: 3:50 PM | Arrives: Ft Lauderdale, PL + FLL | Date: Mar 01,2012 Time: 11:35 PM Airline Confirmation Numbers: VIRGIN AMERICA EPDGQG NEED PASSPORT OR VISA SERVICES? | Asa service to our customers, American Express has partnered with Travisa Visa Service, | inc. for visa and passport services, 4 es need passport ¢ or visa servi ices, alex on ithe ari geohl | — | AttocvAvww 4 al Hi ie vaccournicode £09002 you will be directed to the user | friendly online 1 resource center of Travisa. : Use the followi ing account: ZC9002 to place an order online or if calling direct. Please identify | | yoursel. as an American Express: Card member who made your book! ing g through weniron seve Servi ice. | You may: receive customer ¢ service -analle even i you. have antics not tot receive email ynarketing offers from American Express. For detai Is about our e-mail practices, please review “| the American Express Privacy Statement at http-/Avww. : ress.com/orivacy See attached itinerary PDF or link for full terms and conditions. PDF itinerary attachment: | if you are unable to view the PDF attachment, ensure you have Adobe Acrobat Reader. Refer to | website below to download and install this free software, Thank you for choosing American Express Centurion Travel Service and have a pleasant trip. | Liability Statement. American Express Travel Related Services Cornpany, Inc. and its parent, | subsidiaries, affiliates and repr
HOUSE_OVERSIGHT_006993.jpg
ID: 6552
Description:
Pages: 1
OCR done: 1
Downloaded: 1
OCR updated: 2026-04-09 08:57:32
Source status: needs_review
Local path: /HOUSE_OVERSIGHT_FILES/HOUSE_OVERSIGHT_006993.jpg
1 FEIOL payee i | £9 @-ogs IGZS-LIS-O1E BUOY / OOSE-LIS-O1E xe | LLCLO SBSURY] “EINIAA / SOLE KOM O2IQ og f AUBCWION YRIOYy Bussey oy] : voddng jonpoig uepRHS - : HOUSE OVERSIGHT _006993
HOUSE_OVERSIGHT_006994.jpg
ID: 6551
Description:
Pages: 1
OCR done: 1
Downloaded: 1
OCR updated: 2026-04-09 08:57:34
Source status: needs_review
Local path: /HOUSE_OVERSIGHT_FILES/HOUSE_OVERSIGHT_006994.jpg
People JSON:
  • Darren Indyke
  • Lesley Groff
Prom: ~-Subject: Fwd: Travel arrangements for JEFFREY EDWARD EPSTEIN traveling on 03/01/2012 , ate: March 1, 2012 9:48:51 AM EST To: Lesley Grotf <Me gmail.com>, Darren Indyke 2 201.com> * Attachment, 63:8 KB JE is flying to ft Lauderdale today from LA Janding at 11:30pm. FY1.. Begin forwarded message: ok. 10:94 24 Phi PST Subject: Travel morrangemente for JEFFREY EDWARD EPSTEIN travel sling on 03/01/2012 DO NOT REPLY TO THIS EMAIL This message \ was sent from a notifidation only aiden that | cannot accept incoming messages. if you have any questions, please contact Centurion Travel C serv ce at 1-877-877-0987. | Your travel arrangements are outlined below in the email. Please refer to attached PDF | attachment and ttinerary tor more details regarding your travel arrangements. Your Centurion ; Travel Service trave Plans have been n posted’ t toz a secure website. Please allen ¢ on the link to | if airline tickets are purchased for this itinerary: | Airline paagage F F ee/Rules may apply and can be. accessed by visiting: ntips /Avww. aeairweb com/Mytra velarrangements /AirlineRBaggagePolicies isp | First time user? Refer to instructions when accessing the above website. Enter your email | address and temporary password to gain access to the website. You will receive your temporary | password in a separate email. Mecord Locator: DYYIGK Traveler: JEFFREY EDWARD EPSTEIN Traveler: | Flight Information: | Reserved: VIRGIN AMERICA 336 —. Class: Business CO) Seats: 1D
HOUSE_OVERSIGHT_006993.jpg
ID: 6550
Description:
Pages: 1
OCR done: 1
Downloaded: 1
OCR updated: 2026-04-09 08:57:32
Source status: needs_review
Local path: /HOUSE_OVERSIGHT_FILES/HOUSE_OVERSIGHT_006993.jpg
1 FEIOL payee i | £9 @-ogs IGZS-LIS-O1E BUOY / OOSE-LIS-O1E xe | LLCLO SBSURY] “EINIAA / SOLE KOM O2IQ og f AUBCWION YRIOYy Bussey oy] : voddng jonpoig uepRHS - : HOUSE OVERSIGHT _006993
HOUSE_OVERSIGHT_006992.jpg
ID: 6549
Description:
Pages: 1
OCR done: 1
Downloaded: 1
OCR updated: 2026-04-09 08:57:29
Source status: needs_review
Local path: /HOUSE_OVERSIGHT_FILES/HOUSE_OVERSIGHT_006992.jpg
OPERATIONS MANUAL — 3 | Beene ee UAT OFZ009 HOUSE _OVERSIGHT_006992
HOUSE_OVERSIGHT_006991.jpg
ID: 6548
Description:
Pages: 1
OCR done: 1
Downloaded: 1
OCR updated: 2026-04-09 08:57:27
Source status: parsed
Local path: /HOUSE_OVERSIGHT_FILES/HOUSE_OVERSIGHT_006991.jpg
t Departs: St Thomas, VIRGIN ISLANDS - STT a ) Date: Mar 10,2012 Time: 2:53 PM q ¢ Arrives: New York JFK, NY - JFK Date: Mar 10,2012 Time: 6:48 PM | Airline Confirmation Numbers: DELTA AIR LINES GOQPSWe2 NEED PASSPORT OR VISA SERVICES? AS 4 Service to our Customers, American Express has partnered with Travisa Visa Service, | Inc. for visa and passport services. if you need passport or visa services, click on the link below : _ hitp-/Avww.travisa.com/affiliate/ndex.html?accountcode=ZC9002 yau will be directed to the user | friendly online resource center of Travisa. | Use the followirig account: ZC9002 to place an order online or if calling direct. Please identi ly | yourself as an American Express Card member whio made your mere ven Centurion | Travel warvice. | | | You may rece ive ‘customer service emails even if you have requested not ta receive: — \marketing offers from American Express. For details about our e-mail practices, please review (the American Express Privacy Statement at http:/Avwww.americanexpress.com/privacy. | See attached itinerary PDF or link for full terms and conditions. : PDF itinerary attachment, | if you are unable to view the PDF attachment ensure you have Adobe Acrobat Reader. Reler to | website below to download and install this free software. http /Awww.adobe.com/products/acrobat/readstep. html Thank you tor choosing American Express Centurion Travel Service and have a pleasant trip. | Liability Statement. American Express Travel
HOUSE_OVERSIGHT_006991.jpg
ID: 6547
Description:
Pages: 1
OCR done: 1
Downloaded: 1
OCR updated: 2026-04-09 08:57:27
Source status: parsed
Local path: /HOUSE_OVERSIGHT_FILES/HOUSE_OVERSIGHT_006991.jpg
t Departs: St Thomas, VIRGIN ISLANDS - STT a ) Date: Mar 10,2012 Time: 2:53 PM q ¢ Arrives: New York JFK, NY - JFK Date: Mar 10,2012 Time: 6:48 PM | Airline Confirmation Numbers: DELTA AIR LINES GOQPSWe2 NEED PASSPORT OR VISA SERVICES? AS 4 Service to our Customers, American Express has partnered with Travisa Visa Service, | Inc. for visa and passport services. if you need passport or visa services, click on the link below : _ hitp-/Avww.travisa.com/affiliate/ndex.html?accountcode=ZC9002 yau will be directed to the user | friendly online resource center of Travisa. | Use the followirig account: ZC9002 to place an order online or if calling direct. Please identi ly | yourself as an American Express Card member whio made your mere ven Centurion | Travel warvice. | | | You may rece ive ‘customer service emails even if you have requested not ta receive: — \marketing offers from American Express. For details about our e-mail practices, please review (the American Express Privacy Statement at http:/Avwww.americanexpress.com/privacy. | See attached itinerary PDF or link for full terms and conditions. : PDF itinerary attachment, | if you are unable to view the PDF attachment ensure you have Adobe Acrobat Reader. Reler to | website below to download and install this free software. http /Awww.adobe.com/products/acrobat/readstep. html Thank you tor choosing American Express Centurion Travel Service and have a pleasant trip. | Liability Statement. American Express Travel
HOUSE_OVERSIGHT_006990.jpg
ID: 6546
Description:
Pages: 1
OCR done: 1
Downloaded: 1
OCR updated: 2026-04-09 08:57:24
Source status: needs_review
Local path: /HOUSE_OVERSIGHT_FILES/HOUSE_OVERSIGHT_006990.jpg
People JSON:
  • Darren Indyke
  • Lesley Groff
From: SS _ C Subject: Fwd: Travel arrangements for traveling on 03/10/2012 Date: March 5, 2012 12:38:34 PM EST gmail.com> aol.com-> To: Lesley Groff Ceo: Darren Indyke * 1 Attachment, 63.8 KB I ve > booked JE myself and [sO return tickets to NYo on n Sat. ‘the 10th Begin forwarded message: | From: American Express Travel <AmericanExpressTravel @ trondent.com> | Subject: Travel arrangements 1 I toc! ing on 03/10/2012 | Date: March 5, 2012 12:37:09 PM EST To | DO NOT REPLY TO THIS EMAIL. This message was sent from a notification 1 only address that ] cannot accept incoming messages. If you have any questions, pan: contact Centurion Travel | | Service at 1-877-877-0987. | a ‘| attachment and it itinerary / for more ‘detalle regarding your travel arrangement Your Centurion | Travel Service travel plans have been posted’ to a secure e website, Please click on the link to | view your trip details: htt aeairweb.com/Mytravelarrancement: an if airline tickets are purchased for this itinerary: | Al rine S aaage F rec/Rules 5 may y apply é anid | can iti accessed ey v vis ing: First time user? Refer to instructions when accessing the above website. Enter your email | address and temporary password to gain access to the website. You will receive your temporary | password ina separate email. | Record Locator: KELKCP | Traveler: | Traveler; JEFFREY E EPSTEIN | Traveler | Flight Information: Reserved: DELTA AIR LINES 676 -4 Class: Business C ) Seats: 1C 1D 2B HOUSE _OVER
HOUSE_OVERSIGHT_006989.jpg
ID: 6545
Description:
Pages: 1
OCR done: 1
Downloaded: 1
OCR updated: 2026-04-09 08:57:22
Source status: needs_review
Local path: /HOUSE_OVERSIGHT_FILES/HOUSE_OVERSIGHT_006989.jpg
MAR-Z¢-7ULZ TUR 12:U3 PM P OOL/O0] Crews Larry Visexki David Rodgers MM Jase + Bak rust FE & Passenger: ci = i Passenger: S Passenger: nn i? Passenger: a 6 —_—_~ xz fo Passenger: today’s flight: Total Airframe Time = Fiex YOR HOUSE _OVERSIGHT_006989
HOUSE_OVERSIGHT_006988.jpg
ID: 6544
Description:
Pages: 1
OCR done: 1
Downloaded: 1
OCR updated: 2026-04-09 08:57:20
Source status: needs_review
Local path: /HOUSE_OVERSIGHT_FILES/HOUSE_OVERSIGHT_006988.jpg
People JSON:
  • Ghislaine Maxwell
  • Larry Visoski
N° DE FACTURE: 8141M INVOICE no. A LUATTENTION DE: a eee pm WVOIGE TO Pere C\ (STE) AA Larry Visoski ew CHAT Lo CE 8100 Red Haak St. Thomas, USV1, LES Virgin islands, Q0802 DATE OG FACTURATION: 20/03/12 DATE OU VOL: 24/03/12 FVORCE OATE FLIGHT DATE N° de LTA: (TINERBAIRE: LEG/SAF/LBG AYVET 10, AOUTE N° de WOL: REFERENCE; 120600373 PUGHT no. FILE REFERENGE TOTAL § TOTAL Affrétemant d‘un avion de type CITATION JET 2/6 si@ges pour affectuer le transport de passagers sur le trajet suivant: 14 O00 € 21 MARGH 12 LE BOURGET-BERLIN-LE BOURGET Aa Marntant Total Hors Taxes Gross Ago Montant TVA Exo VAT Antount Montant TOTAL TTC | Net Price aff inctusivé | sarin tired Lrketet ate rte dL i Palement de lacompte a réception de facture ‘Tout retard de paiement entrainera une pénalté au taux de 2% par mois. A fate payrnent penalty will agpoiy al a rate of 2% per month. Coordornnees Hancaires (Bank Detaifs: HSBC France — imrneuble Delta Parc - 35 avenue des Nations — 93420 VILLEPINTE Balement en GBP Cade banque : 30086 Cade Guichet : G0024 N? compte : O08 12007616 Paiement en USD Gade banque : S00s6 Code Giulehet + Oe 7 N° compile : 00212007603 Patemernt en EVR Code bangue + 30056 Cede Gidehat : o0027 N* compute : OO21 2000730 Cite: Bd Che : 44 (He: G2 IBAN : FRY6 3905 6000 2100 2126 IBAN : FRITS 3005 6060 2100 2120 IBAN 2 FR 76 3005 6000 2100 2126 O379 034 Q7h0 344 761 802 BIC : CORRE REP BIC « CCERERPP Bit. : CGEREFAPP HOUSE _OVERSIGHT_006988 Ey er Specialists
HOUSE_OVERSIGHT_006987.jpg
ID: 6543
Description:
Pages: 1
OCR done: 1
Downloaded: 1
OCR updated: 2026-04-09 08:57:18
Source status: needs_review
Local path: /HOUSE_OVERSIGHT_FILES/HOUSE_OVERSIGHT_006987.jpg
‘Adclitional information Additional Messages ‘SP Sa aA ae ALAA NAYS AP PP ee aM lA NS A ASR AN AAA NSP NN NSB NSA ARNE A A A A INI VIN TNA ARAVA PRR RECONFIRM YOUR FLIGHTS AND VERIPY BAGGAGE ALLOWANCE/CHARGES 24 HOURS PRIOR TO DEPARTURE WA A rer rere rere hey ere cerry ey dba erry dear a ey EY YY YT YY TY FY ANY GHANGE OR CANCELLATION OF THIS TICKET MAY RESULT IN AN INCREASE IN FARE OR ANY AIRLINE IMPOSED PENALTY PLEASE RECONFIRM YOUR FUGHTS WITH THE AIRLINE DIRECTLY AS SCHEDULES MAY CHANGE 24 HOURS PRIOR TO DEPARTURE FOR DOMESTIC FLIGHTS fa HOURS PRIOR TO DEPARTURE FOR INTERNATIONAL FLIGHTS AIRPORT CHECK-IN REQUIREMENTS - 0 MINUTES PRIOR FOR DOMESTIC FLIGHTS 4 HOURS PRIOR FOR INTERNATIONAL FLIGHTS PLEASE CHECK WITH CARRIER DIRECTLY FOR SPECIFIC AIRPORT CHECK IN TIMES ANY CHANGE OR CANCELLATION OF THIS TICKET MAY BE SUBJECT TO AS INCREASE IN FARE, TICKETS ARE NON-TRANSFERABLE Page 2 of 3 Thank you for choosing American Express Centurion Travel Service and have a pleasant trip. O HOUSE _OVERSIGHT_006987
HOUSE_OVERSIGHT_006987.jpg
ID: 6542
Description:
Pages: 1
OCR done: 1
Downloaded: 1
OCR updated: 2026-04-09 08:57:18
Source status: needs_review
Local path: /HOUSE_OVERSIGHT_FILES/HOUSE_OVERSIGHT_006987.jpg
‘Adclitional information Additional Messages ‘SP Sa aA ae ALAA NAYS AP PP ee aM lA NS A ASR AN AAA NSP NN NSB NSA ARNE A A A A INI VIN TNA ARAVA PRR RECONFIRM YOUR FLIGHTS AND VERIPY BAGGAGE ALLOWANCE/CHARGES 24 HOURS PRIOR TO DEPARTURE WA A rer rere rere hey ere cerry ey dba erry dear a ey EY YY YT YY TY FY ANY GHANGE OR CANCELLATION OF THIS TICKET MAY RESULT IN AN INCREASE IN FARE OR ANY AIRLINE IMPOSED PENALTY PLEASE RECONFIRM YOUR FUGHTS WITH THE AIRLINE DIRECTLY AS SCHEDULES MAY CHANGE 24 HOURS PRIOR TO DEPARTURE FOR DOMESTIC FLIGHTS fa HOURS PRIOR TO DEPARTURE FOR INTERNATIONAL FLIGHTS AIRPORT CHECK-IN REQUIREMENTS - 0 MINUTES PRIOR FOR DOMESTIC FLIGHTS 4 HOURS PRIOR FOR INTERNATIONAL FLIGHTS PLEASE CHECK WITH CARRIER DIRECTLY FOR SPECIFIC AIRPORT CHECK IN TIMES ANY CHANGE OR CANCELLATION OF THIS TICKET MAY BE SUBJECT TO AS INCREASE IN FARE, TICKETS ARE NON-TRANSFERABLE Page 2 of 3 Thank you for choosing American Express Centurion Travel Service and have a pleasant trip. O HOUSE _OVERSIGHT_006987
HOUSE_OVERSIGHT_006986.jpg
ID: 6541
Description:
Pages: 1
OCR done: 1
Downloaded: 1
OCR updated: 2026-04-09 08:57:16
Source status: needs_review
Local path: /HOUSE_OVERSIGHT_FILES/HOUSE_OVERSIGHT_006986.jpg
yo ( on American Express Centurion Travel Service 2421 West Peoria Avenue M/S AZ38-03-01 Phoenix, AZ 85029-4708 Travel 1-877-877-0987 (Tall Free) oervices When Overseas Call Collect 602-537-4000 Fage 1 of3 Generated: March 26, 2012 07:32 PM Travel Arrangements for: EPSTEIN/JEFFREY E Agent iD; EE Record Locator: BALGMP ve yi a Ticket Information Airline Name AIR FRANCE Ticket Date S/28/2042 Ticket Base Fare O.00 Ticket Number 4047948784 Invoice 5126236 Fieket Tax Fare 0.00 Check Digit 3 Electronica Yeas Total (USD) Tleket Arnaunt 0.00 Ticket Exchancue Original Fare/Ticket Credit ~« 6a73 (10,845.20) New Fara/Ticket - 7047948784 10,845,20 Amount ChargefCredit 0.00 Ticket Exchange Fee 39.00 Total charged to American Express 39.00 Travel Details Wednesday March 28, 2012 aed CITIZENS OF UNITED STATES MUST CARRY A VALID PASSPORT Flight information OVI IITA BANDA A ADM ARTETA MERLE RIPONBE HTM te dhe Ciara MAAS DA NAMA ASA ALPA NISMO Ae dE ea mak a ALO OBER bah al ANY YAR aoa Uae eam ASA el ba RAD ALA ana EA ee tg NM fs YE TACAN ANA ATARANAMGS HS Atta AHS HAHAH ARAT INTEC ONTARIANS P AS PU UN SYR earn a OAR EA A OR SSSA A HAA Adgtina: ALR FRANGE Equipment: Airbus A380-800 Fife tet: G Estimated time: BHR 15 MIN Departure: 1:55 pm Paris Oa Gaulle, FRANCE Distanoe: 3,635 Milas Arrovad: 4:10 om Naw York JFK, AY Meal: Waal service Departure Terminal: AEROGARE 2 TERMINAL E Arrival Terminal: TERMINAL 1 Seat AIRPORT CHEGI IN Claas First AIR FRANCE HAS TAKEN CONTROL OF TH
HPN
Westchester County Airport
White Plains, NY, USA
PBI
Palm Beach International Airport
West Palm Beach, FL, USA
N343DF
HOUSE_OVERSIGHT_006985.jpg
ID: 6540
Description:
Pages: 1
OCR done: 1
Downloaded: 1
OCR updated: 2026-04-09 08:57:13
Source status: parsed
Local path: /HOUSE_OVERSIGHT_FILES/HOUSE_OVERSIGHT_006985.jpg
sr Aw. Crew: GLOBAL 3000 N343DF FRD BEW Airport Paxi Leg WHITE PLAINS, NY (WESTCHEST WEST PALM BEACH, FL (PALM B WEST PALM BEACH, FL, (PALM B RALEIGH, NC (RALEIGHBURHAM from to RALFIGH, NC (RALEIGH-DURHAM wi PLAINS, NY (WESTCHEST Date (lacal) ICAO UTC Diff Local EET Disv/iNM 30 Mar i2 1 Friday KHPN KPBI 1430 1720 ~4 ~d 4030 1320 2:30 960 Li0-4¢ 31 Mat 12 2 /saturday KPBI RDU 1615 1871 4, ore 42145 1444 4:36 596 Satu rday ‘. RDU HPN 2130 aa 4 a) 1730 JEFEREN on FieSt LEG YTRIV Onn ! HOUSE _OVERSIGHT_006985
HOUSE_OVERSIGHT_006984.jpg
ID: 6539
Description:
Pages: 1
OCR done: 1
Downloaded: 1
OCR updated: 2026-04-09 08:57:12
Source status: needs_review
Local path: /HOUSE_OVERSIGHT_FILES/HOUSE_OVERSIGHT_006984.jpg
0.4 7 Passenger: & Passenger: 4 Passenger: | o Passenger: | qi Passenger: 6 Passenger: iz Passenger: | Gallons purchased: Fligit Level: ie Airframe Tinte: Start: _ f Today's tight: + Night: 1/0 70 Passenger: HOUSE _OVERSIGHT_006984
HOUSE_OVERSIGHT_006984.jpg
ID: 6538
Description:
Pages: 1
OCR done: 1
Downloaded: 1
OCR updated: 2026-04-09 08:57:12
Source status: needs_review
Local path: /HOUSE_OVERSIGHT_FILES/HOUSE_OVERSIGHT_006984.jpg
0.4 7 Passenger: & Passenger: 4 Passenger: | o Passenger: | qi Passenger: 6 Passenger: iz Passenger: | Gallons purchased: Fligit Level: ie Airframe Tinte: Start: _ f Today's tight: + Night: 1/0 70 Passenger: HOUSE _OVERSIGHT_006984
HOUSE_OVERSIGHT_006983.jpg
ID: 6537
Description:
Pages: 1
OCR done: 1
Downloaded: 1
OCR updated: 2026-04-09 08:57:10
Source status: needs_review
Local path: /HOUSE_OVERSIGHT_FILES/HOUSE_OVERSIGHT_006983.jpg
< - “4 ) Hones Tine. @ Passenger: inaemaen # Passenger: i Passenger: os en ana en ee o Pasgernger o Passenger: 4 Passenger: 10 Paeeenger: © Passenger: 11 Passenger: © Passenger: a ————_. -««s—s ‘haw Pagenger: Might Level: 24 ULdt “ON : | WALLS 2402 “94 acy HOUSE OVERSIGHT _006983